Abstract
Introduction: Previous studies have reported that patients with sickle cell disease (SCD) have lower systemic blood pressures when compared with age-, sex-, and race-matched controls. We compared systolic and diastolic blood pressure (SBP and DBP) measurements in an SCD patient cohort followed at our clinical center with values obtained from background population using African Americans from the National Health and Nutrition Examination Survey (NHANES) study. Furthermore, we evaluated the association of SBP and DBP with clinical and laboratory variables in our patient cohort in comparison to NHANES.
Methods: We cross-sectionally analyzed 442 adult SCD patients receiving medical care at the University of Illinois at Chicago (UIC) between 2009-2018, categorized as severe (HbSS/Sβ 0-thalassemia; n=342) or mild (HbSC/Sβ +-thalassemia; n=100) genotypes. 884 African American from the NHANES were age-, sex-, and race- matched as control in a 2:1 ratio. We evaluated associations between systolic and diastolic BP and 32 clinical and laboratory variables. Evaluation of medians, interquartile range (IQR), Wilcoxon rank sum and the χ2 test, were performed on covariates. Clinical associations between biomarkers and primary outcomes of SBP, DBP, were determined by first applying single marker regression with covariates. Significant biomarkers were then analyzed by multi-marker regression and model selection to predict the relative strength of outcome association for these biomarkers. All variables included were normally distributed or transformed to normal distribution.
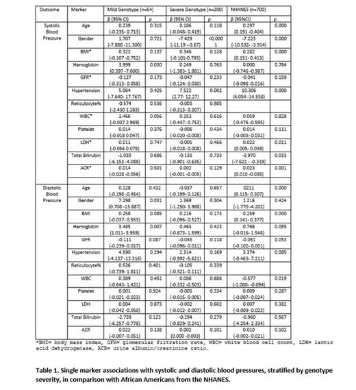
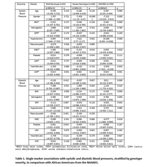
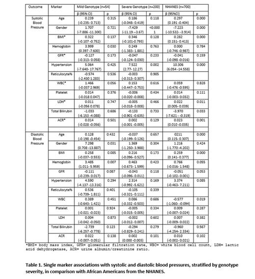
Results: The median age of participants ranged from 31-38 years for both SCD cohorts and NHANES control. 16%, 21% and 8% of the mild genotype patients, severe genotype patients and NHANES controls, respectively were on at least one antihypertensive medication for either hypertension or proteinuria. The median (IQR) for systolic and diastolic BP for the patients with mild genotype were 122 mm Hg (112-130) and 78mmHg (70-84); severe genotype 119 mmHg (110-128) and 70 mmHg (64-75); NHANES 118(110-128) and 70 mmHg (62-78). Systolic blood pressures did not differ among the SCD groups versus NHANES, but diastolic blood pressures were higher in the mild SCD genotype patients than severe SCD patients (P<0.0001) or NHANES (P<0.0001), regardless of antihypertensive therapy. After controlling for covariates, in the severe genotype patients SBP associated significantly with gender and prior diagnosis of hypertension, but SBP associated only with hemoglobin level in the mild genotype patients. In contrast diastolic BP associated with gender and hemoglobin in the mild genotype but had no significant association in the severe genotype patients. In the NHANES controls, we observed that SBP was significantly associated with age, gender, BMI, prior hypertension, LDH, total bilirubin, urine albumin-creatinine ratio; and DBP associated with age, BMI, WBC count (Table 1).
Discussion: Our SCD patient cohorts demonstrate a much higher median SBP, and for the mild genotype patients, higher DBP than was described for their age group in the cooperative study of sickle cell disease (Pegelow et al 1997). When compared with a contemporary NHANES cohort, we failed to observe a lower SBP or DBP as was expected. Higher systolic blood pressure has been reported as risk factor for the development of silent cerebral infarct in HbSS children (DeBaun et al 2014). Our study also shows that BP changes in SCD may be less influenced by traditional anthropometric measures and clinical markers.
Saraf: Global Blood Therapeutics: Membership on an entity's Board of Directors or advisory committees, Research Funding; Novartis: Membership on an entity's Board of Directors or advisory committees, Research Funding; Pfizer: Research Funding. Gordeuk: Modus Therapeutics: Consultancy; Novartis: Research Funding; Incyte: Research Funding; Emmaus: Consultancy, Research Funding; Global Blood Therapeutics: Consultancy, Research Funding; CSL Behring: Consultancy.
